广州市yh86银河国际电机有限公司地址:广州市番禺区石基镇富怡路傍江东村段439-4号手机:13427689308(程工)微信:13828402501(杨工)手机:13928804016(胡工)
直流伺服电机由磁极(定子)、电枢(转子)、电刷与换向片三部分组成。结构上做的细长一些,主要是为了减小转动惯量,从而满足伺服电机快速响应的要求。
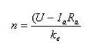
由直流伺服电机的转速公式可知,直流电机的基本调速方式有三种,即调节电阻R、调节电枢电压U和调节磁通Ф的值。
1.改变电区电压:由额定电压向下调低,转速也由额定转速向下调低,调速范围大。
2.改变磁通量(即改变Ke):改变激磁回路的电阻可改变。由于激磁回路电感大,电气时间常数大,调速快速性差,转速只能由额定转速向上调高。
3.在电枢回路中串联调节电阻。转速只能调低,铜耗大,不经济。
地址:广州市番禺区石基镇富怡路傍江东村段439-4号
手机:13928804016(胡工) 13427689308(程工)
专注于直流伺服电机,行星减速器,直流无刷电机的生产和销售!
备案: SEO:18网络 技术支持:九鑫传媒